L'Armorial des villes et villages de France 

L'Armorial des Villes et des Villages de France



Accueil   Communes   Départements   Régions

Interactifs   Recherche   Divers   Contact   Mises à jour   Menu

HAUTOT L AUVRAY
(Seine Maritime)
INSEE n° 76346

BLASON DE HAUTOT L AUVRAY

(2015) De sinople à l'écusson d'or chargé d'une croix latine pattée de sable mouvant d'un mont de trois coupeaux du même, le fût brochant sur la lettre S majuscule et accostée de deux fleurs de lis le tout de sable, ledit écusson soutenu de deux bouquets de deux épis de blé feuillés posés en bande et barre; mantelé d'argent à deux vaches arrêtées affrontées au naturel; le tout sommé d'un chef de gueules chargé d'un léopard d'or armé et lampassé d'azur.

* * *

NOTES, COMMENTAIRES, BIBLIOGRAPHIE

Création Denis Joulain.
Adopté le 22 septembre 2015.

* * *

DOCUMENTS DIVERS



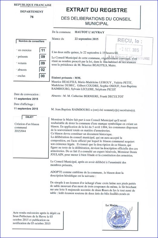
Extrait du registre des délibérations du 22 septembre 2015 (1/2).
(Aimablement transmis par Denis Joulain)



Extrait du registre des délibérations du 22 septembre 2015 (2/2).
(Aimablement transmis par Denis Joulain)



Blason sur l'application PanneauPocket, 2022.

* * *

Sources: AO TR

Mise(s) à jour:
30/04/2022 Ajout d'un document.
11/12/2015 Création de la page.



Hébergé par PlanetHoster    Réseau social Bluesky

Les dessins des blasons sont exécutés par mes soins.
Les documents présentés proviennent, sauf indication contraire, de mes collections personnelles.
Toute utilisation dans un but commercial est interdite, sauf accord explicite de ma part.

Copyright

© 2025 Armorial de France — Ce site n'utilise pas de cookies de suivi et ne collecte aucune donnée personnelle. La navigation est sécurisée en HTTPS. En savoir plus